元件/算子/变换/系统 的性质

函数是输入数值输出数值
泛函是输入序列(函数)输出数值
而这里是输入序列(函数)输出序列(函数)

在电路原理叫 元件
在人工智能叫 算子
在复变函数叫 变换
在自动控制叫 系统

因果性

输出,只与当前信息和以前的信息有关。

对于数字图像处理,显然可以没有因果性。

无记忆性

算子被贬为函数了
可以粗浅地理解为表达式只含有对u的代数运算,不含u的导数、u的积分等运算。
此时F(u)可以理解成f(u(t))

线性

系统的叠加原理 - 知乎

这不是函数的线性,而是变换的线性!

Y(u(n))=u(t)sin(2πt9)Y(au1(t)+bu2(t))=aY(u1(t))+bY(u2(t))

也就是说,t在上式是不动的。Y是线性时变系统

时不变性(定常性)

输入时间延迟,输出时间也延迟,波形不变。

F(u(ta))=x(ta)
Note

比方说,时钟并不会随着时间流逝而加快。(如果有,应该是谁拨快了时钟——随时间变化的参数介入,但又不像输入一样受到延迟——或许孤立系统都是时不变系统)

内稳性、渐进性、有界性、吸引性

李雅普诺夫稳定性与经典稳定性 - 知乎
李雅普诺夫稳定性理论(万字长文,全网最全!) - 知乎
控制理论中关于连续,稳定,有界等几个概念的区别与联系? - 知乎
现代控制理论中的吸引、一致吸引、全局吸引、全局一致吸引怎么生动理解? - 知乎
非线性系统(Nonlinear Systems)—4.7 有界性、最终有界性和输入-状态稳定性(ISS) - 知乎
稳定&渐进稳定,一致有界&一致最终有界-CSDN博客
现代控制理论学习笔记 - 第五章:系统稳定性
渐进稳定性与有界输入有界输出稳定性 - 哔哩哔哩
如何理解李雅普诺夫稳定性分析 - 知乎

人话:考虑一个无输入(瞬时扰动消失并留下初态偏差)的状态空间方程表达式,经过足够长的时间,

稳定性.png

数学话:李雅普诺夫意义下的稳定性——给定ϵδ可求

t0ε>0δ(ε,t0)>0:x(t0)<δ,tt0x(t,x0,t0)<ε,

数学话:渐进稳定性

t0δ(ε,t0)>0:x(t0)<δ,limtx(t)=0

在这种情况下,称系统的平衡点 x=0 是(渐进)稳定的
如果 δ 的选择不依赖于 t0δ=δ(ξ) 则平衡点 x=0是一致(渐进)稳定的
若放开 δ 即任意初态都可满足,则平衡点 x=0 是全局(渐进)稳定的

经典控制理论中,稳定专指渐进稳定,李雅普诺夫意义下稳定称为临界稳定或不稳定。

外稳性

控制理论中的几种稳定性介绍_uniformly ultimately bounded-CSDN博客
系统的输入到状态稳定性 | 辛未羊的网络日志
李雅普诺夫稳定(内部稳定)与BIBO稳定(外部稳定)的关系_bibo稳定与内部稳定-CSDN博客
李雅普诺夫稳定,输入输出稳定,输入状态稳定三者有什么区别? - 知乎
稳定性分析+李氏稳定+BIBS(全)稳定+BIBO(全)稳定+全局稳定 - 哔哩哔哩
现代控制理论学习笔记 - 第五章:系统稳定性
有界输入有界输出稳定性-数学百科
信号与系统:BIBO稳定性判据 - 技术教程
(8 封私信) 非线性系统(Nonlinear Systems)—4.7 有界性、最终有界性和输入-状态稳定性(ISS) - 知乎
非线性系统(Nonlinear Systems)—5 输入-输出稳定性(Input-to-Output Stability) - 知乎

人话

数学话:输入状态稳定性

在有输入的情况下,
外稳不一定内稳,因为内部不稳定的子状态可能是不能观的,内部的不稳定不会体现在外界观测。
内稳则一定外稳。

无输入情况下,针对完全能控能观的线性系统,输入输出稳定、输入状态稳定、李雅普诺夫稳定,等价。

渐进稳定下,满足输入输出稳定。因可根据定义,得到冲激响应的积分(单位阶跃响应)有界。
临界稳定(非渐进稳定)下,不满足输入输出稳定。可以用有限的输入对系统造成共振。

能控性、能观性

线性系统理论(三)能控性与能观性 - 知乎
存在输入u(t)
能在有限时间区间内
将系统的状态变量从

[现代控制理论2-4(2)] 系统能观性分析 - 知乎

一个时间连续的线性系统:

x˙(t)=Ax(t)+Bu(t)y(t)=Cx(t)+Du(t)

在有限的时间间隔内
已知系统的输入量
测得系统的输出量
可以唯一确定系统的初始状态
那么就称这个时连系统是 完全可观(vollständig beobachtbar)的。

系统的表示

非线性系统分析,描述函数法中的等效线性环节、等效非线性环节,怎么求? - 知乎
如何理解李雅普诺夫稳定性分析 - 知乎

线性时不变微分方程→传递函数

为什么传递函数只能描述线性定常系统而不适合时变系统? - 知乎

我们只针对线性时不变系统用传递函数来表示(非线性系统可以使用描述函数)

定义:零初始条件下,输出拉氏变换和输入拉氏变换的比。

对于两个序列的关系,自然想到用微分方程表示。
我们对微分方程进行算子法表示,即拉普拉斯变换。
把输出拉氏变换除以输入拉氏变换,可以得到一个比值称为传递函数

X(s)U(s)=G(s)=L(h(t))

有什么意义呢?根据拉普拉斯变换的卷积性质

U(s)G(s)=L(u(t)h(t))=X(s)

正好就是从冲激响应的角度对元件的理解。

对于线性系统:标准形式/有理分式形式/多项式形式

G(s)=X(s)U(s)=b0sm+b1sm1++bm1s+bma0sn+a1sn1++an1s+an=N(s)D(s)

对于线性系统时域分析法:时间常数形式/典型环节形式/尾1形式。提取尾部系数

K=bman,G(s)=Ki=1m(Tis+1)j=1n(Tjs+1)

对于线性系统根轨迹法:零极点增益形式/根的形式/首1形式。提取首部系数

K=b0a0,G(s)=Ki=1m(s+zi)j=1n(s+pj)

对于特征多项式
传递函数的分母D(s)=a0sn+a1sn1++an1s+an
由于现实中输出的阶次鲜有比输入的阶次高,特征多项式的阶次即称为系统的阶次
D(s)=0称为特征方程,它的根pj即为系统的特征根,或者称为系统的极点

对于初始状态非零
初始输入非零,根据时不变性,可以视为初始输入为零,而经过瞬时阶跃变成非零
初始输出非零,则以一阶系统为例,L1[x(0)]=x(0)δ(t),初始输入受到一个瞬时冲激,不会影响到系统的稳定性分析与特征分析

六大典型环节(传递函数宜记忆)——比例、积分、微分、惯性、振荡、时滞

对于逆系统,即两个系统串联,传递函数互为相反数。

传递函数的图表示

特征多项式的唯一性

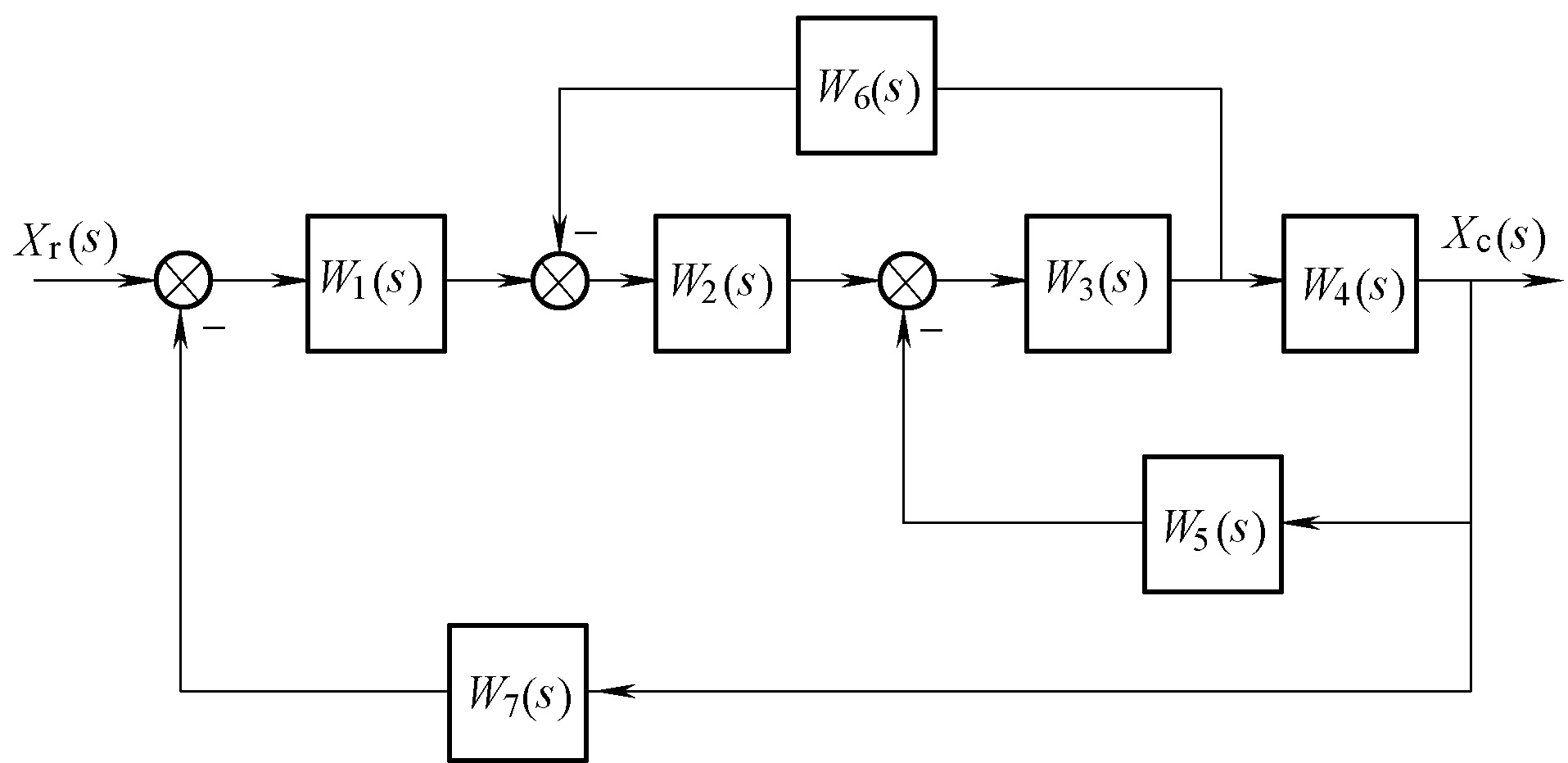
如果扰动量从上面进入(如图),则分母不变,分子加入N(s)W1(s)

Pasted image 20250918104305.png

如果扰动量从下面进入,还是分母不变,分子加入N(s)Wf(s)

所以,分母不会变。

对于反馈连接:根轨迹法、奈奎斯特辅助函数法

定义开环传递函数WK(s)=W1(s)W2(s)W3(s)Wf(s)
注意,开环传递函数相当于切断最外层反馈,引入测试输入和测试输出,求测试环节的传递函数。
Pasted image 20250918103139.png

所以,下图的开环传递函数很容易搞错,不要把变位后的信号线也接入测试端!
Pasted image 20250918103336.png

对于反馈连接的等效传递函数

G(s)=G1(s)1+G1(s)G2(s)=G1(s)1G2(s)G1(s)+1G2(s)=11G1(s)+G2(s)=Wg(s)1+WK(s)
Question

咋给我来个调和平均数?这是巧合还是可以联系到电路并联?我想到了运放的加法电路。梅逊增益公式的前身?

考虑根的形式表示的闭环系统,K1K2N1(s)N2(s)D1(s)D2(s)为开环传递函数KgN(s)D(s)
Pasted image 20250917161512.png
于是等效传递函数

G(s)=G1(s)1+G1(s)G2(s)=G1(s)1+K1K2N1(s)N2(s)D1(s)D2(s)=G1(s)1+KgN(s)D(s)

即特征方程式

1+KgN(s)D(s)=1+WK(s)=0

一方面,可以化为根轨迹方程

N(s)D(s)=i=1m(s+zi)j=1n(s+pj)=1Kg

另一方面,我们把1+WK(s)称为奈奎斯特辅助函数(特点:零点和极点个数相同?)。闭环控制系统稳定的充要条件变为:辅助函数的全部零点必须都在复平面的左侧。

F(s)=1+WK(s)=|F(s)|ejF(s)

对于复杂线性系统:梅逊增益公式

梅森公式的证明 - 知乎
(8 封私信) 自动控制原理之如何理解梅森公式(内附MATLAB求解传递函数程序) - 知乎
(8 封私信) 快速学习梅逊公式 - 知乎
(8 封私信) 模拟ic论文中各种复杂传递函数都是怎么得来的? - 知乎
自控原理应试法其三:图与梅逊公式 - 哔哩哔哩

“信号与系统界的基尔霍夫”
物理竞赛喜欢出大规模电路网络题目,往往可以用节点电流法解出。对于信号流图网络呢?

简略形式:叠加原理罢了

特征多项式的求取:啊?拓扑学吗?

多阶系统一阶化→状态空间模型

微分代数方程的状态空间方法—Wolfram Documentation
由微分方程求状态空间表达式(精) - 豆丁网
如何把高阶微分方程化成一阶微分方程组? - 知乎
《现代控制理论》之状态观测器 - 知乎
非线性系统学习笔记:(一)基础1_非线性状态空间方程-CSDN博客
CH1. 系统的状态空间模型 - 控制理论笔记 Automation

例如,MATLAB的ode45求解器只支持一阶微分方程
我要模拟下面的微分方程表示的系统,x是输入,y是输出

{x˙=xy(3x)2+(y3)3+6y2+2ty(3)=y˙x˙extx(1)=2,x˙(1)=4y(1)=2,y˙(1)=7,y˙(1)=6

把每一阶导数设为一个独立的状态量
化为一阶系统

x=z0z1z2=yy=z2z3z4dz5dt=y(3)

于是化为一阶的向量微分方程(向量有初始值)

# 定义微分方程函数
def odefun(t, z):
    dzdt = np.zeros(5)
    dzdt[0] = z[1]
    dzdt[1] = -z[0] - z[2] - (3*z[1])**2 + (z[3])**3 + 6*z[4] + 2*t
    dzdt[2] = z[3]
    dzdt[3] = z[4]
    dzdt[4] = -z[4] - z[1] - np.exp(-z[0]) - t
    return dzdt

指定输入量x=z0,指定状态量z=[z1,z2,z3,z4]T,把某种函数关系表示的方程组(不考虑噪声)

{dzdt=f?(x,z)y=z2=f?(x,z)

称为状态空间方程。
y=z2,这显然就是没有涉及状态观测器的情况。经典控制理论中的反馈是输出反馈,输出直接可以测量,还观测个屁(ᗜˬᗜ)
可惜这不是线性系统,否则,线性系统就可以用矩阵表示了

dz(t)dt=Az(t)+Bu(t)y(t)=Cz(t)+Du(t)

再论“特征”

如何证明矩阵指数e^At的Laplace变换是(sI-A)的逆? - 知乎
线性代数精华——矩阵的特征值与特征向量 - 知乎
证明:矩阵多项式的特征值是其特征值多项式_矩阵多项式的特征值和矩阵特征值的关系-CSDN博客

Question

或许能用“线性微分方程的克拉默法则”为突破口,把微分方程的特征多项式和系统的、矩阵的特征多项式都串在一起!
常数变易法,就是克拉姆法则?

从状态空间方程回到传递函数,拉氏变换后解方程

{sZ(s)=AZ(s)+BU(s)Y(s)=CZ(s)+DU(s)

解出Z,代入Y,则是(分式表示逆矩阵,I表示单位矩阵,星号是伴随矩阵)

Y(s)U(s)=C(sIA)1B+D=C(sIA)|sIA|B+D

对于输出量少于状态量的情况,即是C和D的秩比A和B更少的情况。有意思的是L[eAt]=(sIA)1

这里经过了多阶系统一阶化,比经典方法多几个状态变量,传递函数的形式并没完美等价。
我们知道矩阵的特征多项式|AλI|=det(AλI)为零的根就是特征值λ
分母|sIA|就是特征多项式!分母为零的根就是传递函数的极点s
因此分析状态矩阵A的特征值也可以判断系统的稳定性。(状态稳定,显然输出也稳定)

相平面与相空间

第二讲 相平面法一 - 知乎

只要是各个状态变量作为坐标轴的平面都可以作为相平面,无论是xy还是xdxdt

Note

交流电路的复平面可以视为相平面。
中学物理竞赛典型的“蚂蚁问题”,画出xv图其实就是典型的相平面。
而种群问题建模的曲线(种群数量——增长率曲线)可以视为非典型的相平面吧。

例子:二阶线性系统。过阻尼、欠阻尼、临界阻尼,相轨迹如下

Pasted image 20250918002518.png

然后提一些概念。

非线性系统时域近似→李雅普诺夫第一法

在 Simulink 中设计 LQR 伺服控制器 - MATLAB & Simulink

以倒立摆为例,写出状态空间方程,u为输入的外力

ddt[θθ˙]=[θ˙mglJtsinθγJtθ˙+lJtcosθu]

简化模型:无外力输入、转动惯量J=1,旋转摩擦系数γ=1

[x˙1(t)x˙2(t)]=[x2sin(x1)x2]

先用MATLAB看一看相轨迹吧

对于特定的平衡点,不考虑稳定性,自然可以直接令导数为零求解

[00]=[x2sin(x1)x2]

得到平衡点[±nπ0]

李雅普诺夫第一法:线性近似

倒立摆系统显然是非线性系统

x˙1(t)=x2x˙2(t)=sin(x1)x2

李雅普诺夫第一法就是在微扰动情况下把非线性方程线性化。现在我们以已知平衡点[π0]为例分析,考虑相对坐标z1=x1π, z2=x2,进行一阶线性近似(切线/一阶泰勒)

sin(π+z1)=sinz1z1

非线性方程近似为

[z1˙z2˙]=[0111][z1z2]

非线性系统频域近似→描述函数(谐波平衡法)

非线性控制(四)描述函数法 - 知乎

本质非线性:不连续的非线性,饱和、死区、开关、间隙、滞后、奇怪的间断点
非本质非线性:连续的非线性,只是直线变成了曲线

描述函数法是一种近似方法,相当于线性理论中频率法的推广。方法不受阶次的限制。

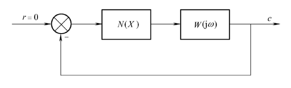
设非线性系统可以拆分成线性元件和非线性元件,如图(串联顺序也可能相反)

Pasted image 20250917155228.png

描述函数是对非线性特性在正弦信号作用下的输出,进行谐波线性化处理之后得到的

稳定性分析

控制系统稳定性判断 - 知乎

时域响应分析

阶跃响应,即目标量突变,系统对这个情况的行为
例子:一个电容,此前没有电量,然后立即充电
例子:一个弹簧,此前用手压缩,然后立即松开
时域响应分析,其实就是用拉普拉斯法(算子法)解微分方程的过程。

BIBO稳定性判据

信号与系统:BIBO稳定性判据 - 技术教程
有界输入有界输出稳定性-数学百科

0|h(t)|dt<

根的判据

高等代数(二)预习——4、唯一因式分解定理 - Halifuda - 博客园

典型二阶系统的时域动态特性可知,稳定性还是要看特征根在平面的位置

对于高阶系统传递函数,都可通过因式分解拆分成多个一阶系统和二阶系统。

X(s)=G(s)=(ss21)(ss22)(sssn)((sspi)(sspi)(sspi))((sσ1±iω1)(sσ2±iω2)(sσr±iωr))

解微分方程可得

x(t)=i=1qaiespit+k=1rbkeσktsin(ωkt+φk)

因此对于高阶系统,关键看极点的实数部分sσ

也可以把多阶微分方程一阶化状态空间方程的形式,发现状态矩阵(应该是赫尔维茨矩阵,下面来探讨)

特征值判据

周彬《线性系统理论》第3章3.2节:稳定性直接判据 - 知乎
CH1. 系统的状态空间模型 - 控制理论笔记 Automation
矩阵指数 - 知乎

线性系统的状态空间方程通过矩阵微分方程求解,可以变成这样(推导略)

z(t)=eA(tt0)z(t0)+t0teA(tt)Bu(τ)dτ

因此对于状态空间方程,关键看状态矩阵AA(用特征值分解计算矩阵的指数)

也可以把状态空间方程还原成矩阵传递函数的形式,发现特征多项式即为|sIA|,特征根s即为A的特征值。

劳斯——赫尔维茨判据

1.5~1.6赫尔维茨多项式、劳斯–赫尔维茨判定 - 知乎
(十三)判断稳定性:劳斯判据 - 知乎
赫尔维茨定理_百度百科
二次型与正定性 - 知乎
线性代数学习笔记——第六章学习指南——二次型与二次曲面_根据二次型求对应曲线的方法-CSDN博客
6 二次型与二次曲面
《常微分方程及其稳定性》(二) - 知乎
Routh-Hurwitz准则——判别实系数多项式有无实部非负的根的充要条件 - 知乎
劳斯–赫尔维茨稳定性判据-数学百科
劳斯阵列的推导-数学百科
第四章-控制系统的李雅普诺夫稳定性分析 | EpsilonJohn's Blog

哈尔滨工程大学刘胜的自动控制原理,书后附录有证明,当然我觉得还可以看看原论文,现在书上应该会列出参考文献

从状态空间方程到状态转移矩阵,和从传递函数到特征多项式的赫尔维茨矩阵,殊途同归于“判断矩阵正定性”,但是
到这里证明就难了,虽然也是对于正定性的判断,但是对于特征方程,已经丢失了很多信息

a0sn+a1sn1++an1s+an=0

赫尔维茨矩阵(转置后写法)

ΓfT=[a1a000...000a3a2a1a0...000a5a4a3a2.....................................anan1an20000...00an]

赫尔维茨行列式

D=|a1a3a50a0a2a400a1a300a0a200000an100an2an|

这个n阶行列式的构造方法如下:

赫尔维茨稳定判据:特征方程式的全部根都在左半复平面,的充分必要条件是,上述行列式的各阶主子式均大于0——赫尔维茨矩阵是正定矩阵。

D1=a1>0,D2=|a1a3a0a2|>0,D3=|a1a3a3a0a2a40a1a3|>0,,Ds=D>0
Note

我们经常使用矩阵的正定性判断二次型(二次曲面)的“形状”。
在这里我们拿它来判断二次方程的根的分布,估计是可以通过状态空间方程法把多项式降阶。

劳斯表和劳斯判据可以简化运算。

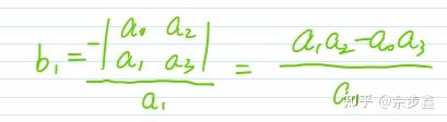
用劳斯表表示:b1=D2/D1,c1=D3/D2,,g1=Dn/Dn1

劳斯判据:特征方程式的全部根都在左半平面的充分必要条件是劳斯表的1列系数全部是正数。

谢绪恺——聂义勇判据

1976-024.pdf

根全部具有负实部的必要条件为aiai+1>ai1ai+2
根全部具有负实部的充分条件为0.465aiai+1>ai1ai+2

频域响应分析

【东大自控笔记10】频域分析方法(幅相特性曲线与对数频率特性曲线[伯德图])对数幅相特性曲线mr-CSDN博客
复阻抗法 求解 传递函数_复阻抗法求传递函数-CSDN博客

引理:对于线性时不变系统,输入复指数量(正弦波),输出频率相等的复指数量(正弦波)

傅里叶变换的微分性质和复指数函数的微分性质形式相似
对复指数量取微分,(ejωt)=jωejωt
等式两端取变换,F[(ejωt)]=jωF[ejωt]
这么一搞,无论是ejωt部分还是F[ewt]部分都成了摆设,在做比值的时候可以被自然消去

X~U~=bm(jω)m+...+b1(jω)+b0an(jω)n+...+a1(jω)+a0=A(ω)ejϕ(ω)=P(ω)+jQ(ω)

于是,输出量的复数表示的比值、输出量的频域表示的比值,恰好相等,正是传递函数(s=jω)。其中A(ω)为辐频特性,ϕ(ω)为相频特性。P, Q为实部和虚部的表示形式。

奈奎斯特判据

(9 封私信) 怎么通俗理解 Nyquist 稳定判据? - 知乎
放大器的传递函数基础、幅值裕度 & 相位裕度的概念 - 知乎

考虑一个闭环系统,仍然根据:系统稳定的充分必要条件是闭环传递函数的极点均在 s 左半平面

Pasted image 20250919083203.png

奈奎斯特辅助函数 F(s) 和传递函数一样,是一个对复数的映射,从复数域映射到复数域。
映射定理:在 s 平面上如闭合路径顺时针包围 F(s) 的P 个极点、Z 个零点,则在 F(s) 平面上对应有一条闭合路径围绕原点逆时针旋转的圈数为N, 则有 N=P-Z

用留数法可以理解,例如在s顺时针包围一个极点,在F(s)就顺时针包围无穷远点,等价于在F(s)逆时针包围原点。

奈氏稳定判据一:如果开环系统是稳定的,那么闭环系统稳定的条件是:当 ω 变到 + 时,开环频率特性在复数平面的轨迹 WK(jω) 不包围 (1,j0) 这一点。
奈氏稳定判据二:如果开环系统是不稳定的,开环系统特征方程式有P个根在右半s平面上,则闭环系统稳定的充要条件是:当 ω 变到 + 时,开环频率特性的轨迹在复平面上应逆时针
围绕 (1,j0) 点转 P 圈。否则闭环系统是不稳定的。

由于奈奎斯特判据的关键点在 (1,j0) ,定义稳定裕度判断轨迹与该点的距离
相位裕度:规定当|WK(jωc)|=1时的Wkπ为相位裕度PM
增益裕度:规定当WK(jωj)=π时的1|WK|为增益裕度GM

稳定系统的稳定裕度

不稳定系统的稳定裕度

伯德图判据

广义能量分析

现代控制理论——稳定性分析(Lyapunov) - 知乎
现代控制理论—非线性控制—Lyapunov直接方法 - 知乎
李雅普诺夫稳定性理论(万字长文,全网最全!) - 知乎
PowerPoint 演示文稿
Hessian 矩阵的正定性与目标函数凸性的证明_hessian矩阵判断凸函数-CSDN博客
Hessian矩阵与函数的凹凸性(学习笔记) - 知乎
《常微分方程及其稳定性》(二) - 知乎
第三章——Lyapunov理论基础_lyapunov函数-CSDN博客

李雅普诺夫直接法/第二法

预备知识:函数性质

K类函数(什么鬼名字,有点像高中多阶导数题的“摆尾”):正半轴零初始点的增函数
K类函数:最终趋近于正无穷的K类函数

函数的正定性(应该就是凹凸性吧):W(x)ϕ1(r),ϕ2(r)K,使ϕ1(x)W(x)ϕ2(x)

函数的径向无界性:W(x)ϕ1(r),ϕ2(r)K,使ϕ1(x)W(x)ϕ2(x)(等价于limxW(x)=+

若引入时间量,如V(t,x),则上述定义是发生在t0时刻之后(t,x)[t0,+)×Rn都成立的。

集合乘法即为配对

笛卡尔乘积_百度百科
乘积A×B是一个新的集合,包含了所有可能的有序对 (a, b),其中a∈A,b∈B。

开始构造:能量函数

李雅普诺夫函数 - 维基百科,自由的百科全书
如何构建李雅普诺夫方程(或者说有什么构建方程的技巧吗)? - 知乎
构造一个标量函数——能量函数,满足规定

  1. 正定函数(除 x=0 外严格为正)
  2. 以 t 为自变量时单调下降,dV(t,x)dt|(1)=V(t,x)t+V(t,x)xf(t,x)0,t>t0
    这两个规定,是为了证明稳定性做准备的,不满足这两个规定的函数不可能对我们有帮助。

李雅普诺夫主稳定性定理,让我们考虑两个量

  1. 候选函数V
  2. 候选函数的时间导数V˙=dVdt=Vx˙=Vf(x)
李雅普诺夫稳定 邻域内 V正定 V˙半负定
渐近稳定 邻域内 V正定 V˙负定
全局李雅普诺夫稳定 整个空间 V正定 V˙半负定 V径向无界
全局渐近稳定 整个空间 V正定 V˙负定 V径向无界

若要证明一致稳定性,要让V(t,x)多一个对 t 上界的条件?此话怎讲?

LaSalle's Theorem Invariance Principle

1.  V是正定的
2. V˙是半负定的,但是除了零点之外均不为0
这样系统也是渐进稳定的

Example

x˙1(t)=x2x1(x12+x22)x˙2(t)=x1x2(x12+x22)

如果我们定义李雅普诺夫函数(瞪眼法,就像积分因子法解微分方程一样瞪)

V(x)=x12+x22

验证

V˙(x)=2x1x˙1+2x2x˙2=2(x12+x22)2

显然当 x0 时,有 V˙(x)<0 ,所以系统是渐进稳定的。

形象地思考:位置上正定,势能是凹的;速度上负定,动能是凸的

如果能合理的选定李雅普诺夫函数,则非常容易的判断系统的稳定性。
不过遗憾的是,对于复杂的系统,李雅普诺夫函数的选择或者说寻找可以称得上一门玄学。
构造李雅普诺夫函数的方法:凑合Lyapunov函数法、倒推Lyapunov函数法、Krasovski方法
所以,对于工程师而言,还是喜欢李雅普诺夫第一法。

对于线性时不变系统:赫尔维茨矩阵与李雅普诺夫方程

线性系统(Linear Systems)—3.6 线性定常系统的稳定性 - 知乎
线性代数 | 李雅普诺夫方程
最优控制公式推导(代数里卡提方程,李雅普诺夫方程,HJB方程)最优控制are-CSDN博客

线性时不变系统用状态矩阵表示

x˙=Ax

其通解为

x(t)=eAtx(0)=Tdiag{eJ1t,eJ2t,,eJrt}T1x(0)

线性定常系统的零解是

当 Re(λi)<0 , 即其特征根均具有负实部, 则矩阵 A 称为 Hurwitz 矩阵——赫尔维茨矩阵。此时系统全局一致指数稳定。

A 称为 Hurwitz 矩阵,当且仅当:
对任给的正定对称矩阵 Q, 存在满足 Lyapunov 方程PA+ATP=Q 的正定对称矩阵 P, 且 P 是方程的唯一解。对于离散线性时不变系统则是 ATPAP=Q for xt+1=Axt

换句话说,若存在正定矩阵P满足ATP+PA=Q(Q正定),则系统稳定。

充分性 线性定常系统的渐近稳定性等价于存在一个二次型的 Lyapunov 函数,可以就此把 Lyapunov 函数确定出来。

PA+ATP=QV(x)=xTPxV˙(x)=x˙TPx+xTPx˙=xTQx

必要性 考虑如下矩阵微分方程和它的解

X˙=ATX+XA,X(0)=Q,t0X(t)=eATtQeAt,t0

对矩阵微分方程积分

X()X(0)=AT(0X(t)dt)+(0X(t)dt)A

配凑李雅普诺夫方程形式,构造P=0X(t)dt,而X()因系统的渐进稳定性为零
只需证明P是正定的。说明对称性如下

PT=0[eATtQeAt]Tdt=0eATtQeAtdt=P

x00时,结合Q的正定性,得到下式可以得出P是正定的,必要性成立。

x0TPx0=0(eAtx0)TQ(eAtx0)dt>0

波波夫超稳定性理论

波波夫 (POPOV)超稳定性理论该怎么理解? - 知乎

控制器校正

观测器

(7 封私信) 【现代控制理论】状态观测器——龙伯格观测器(Luenberger observer) - 知乎
【现代控制理论笔记】——第六章:状态观测器-CSDN博客

基本性质

[现代控制理论2-4(2)] 系统能观性分析 - 知乎
线性系统理论(三)能控性与能观性 - 知乎

强化学习与状态

Agent-Environment
控制器就是智能体
状态空间模型是描述环境或智能体的有力手段。以环境作研究对象为例

随机微分方程与随机系统

概率状态空间模型

#概率状态空间模型
滤波估计理论(一)——贝叶斯滤波_bayesian filtering and smoothing-CSDN博客
随机控制理论_百度百科
任何设备都有不确定性(物理实验中叫不确定度),于是我们从条件概率的视角看待状态空间模型

{xkp(xk|x0:k1,z1:k1)zkp(yk|x0:k,z1:k1)
Note

行业黑话:在概率模型中,波浪线符号“∼”通常表示“服从某种分布”
即 xₖ 的取值由给定过去状态 x₀:ₖ₋₁ 和过去观测 z₁:ₖ₋₁ 的条件分布生成。
即 zₖ 由当前状态 x₀:ₖ 和过去观测 z₁:ₖ₋₁ 的条件分布生成。
p是一种分布,本质上也是概率构成的一个函数,而函数的本质可以是序列

简化成隐马尔可夫模型:

{xkP(xkxk1)zkP(zkxk)

顺序数据:状态空间模型_状态空间模型(state space models,ssm)举例说明-CSDN博客
这其实是一个马尔可夫链

最优参数整定器

最优控制理论_百度百科

自适应参数整定器

适应控制系统_百度百科